$ cat research/imaging.md
Computational Imaging and Design Optimization
Computational imaging and design optimization form a cross-cutting research theme that connects our fundamental algorithmic research with practical engineering applications. This includes inverse scattering methods for reconstructing unknown object properties from measured electromagnetic fields, parameter identification for hysteresis models critical to ferromagnetic object detection, and effective material property characterization of random composites.
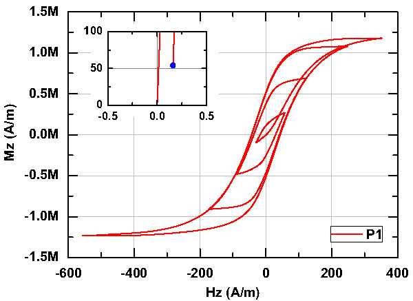
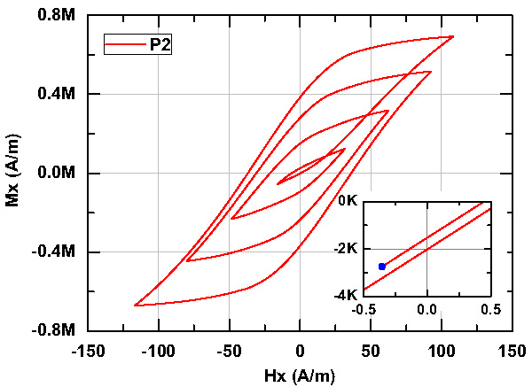
Our work on hysteresis model parameter identification employs the Gauss-Newton method for symmetrical Prandtl-Ishlinskii models, enabling accurate characterization of nonlinear magnetic materials. For random composite materials, we develop methods to extract effective electromagnetic parameters for porous media using potential-based formulations, with applications in materials science and subsurface exploration.
Advanced optimization techniques for electromagnetic device design include model order reduction for efficient sensitivity analysis, constrained least squares optimization for coronagraph design, and multi-objective optimization for antenna and metasurface systems. Efficient simulation methods using hierarchical matrix compression (𝒟ℋ²-matrices) have been developed for three-dimensional vector electromagnetic problems, and quantum-ready electromagnetic solvers via Pauli operator generation are being explored.
> examples

Hysteresis model parameter identification for ferromagnetic object detection

TEAM10 benchmark for hysteresis modeling

Effective electromagnetic parameter extraction for composite media

Directional nested hierarchical 𝒟ℋ²-matrix framework for 3D vector EM problems

Efficient Pauli operator generation via hierarchical matrix compression for quantum-ready EM solvers
> funding_agencies
> key_publications
Parameter identification for symmetrical Prandtl-Ishlinskii hysteresis model using Gauss-Newton method
Su Yan and A. O. Idubor — Proc. IEEE Antennas Propag. Symp., Portland, OR, USA, July 2023, 2023
Telescope coronagraph focal plane mask design using the method of moments and a constrained least squares
Su Yan, L. Wise, and P. Chen — 2023 IEEE MTT-S International Conference on Numerical Electromagnetic and Multiphysics Modeling and Optimization, Winnipeg, Canada, June 2023, 2023
An efficient solution of low-frequency magnetic problems with voltage sources using all-frequency stable formulation
M. Mekonnen and Su Yan — 2023 IEEE MTT-S International Conference on Numerical Electromagnetic and Multiphysics Modeling and Optimization, Winnipeg, Canada, June 2023, 2023
Electrostatic and magnetostatic properties of random materials
P. Karimi, X. Zhang, Su Yan, M. Ostoja-Starzewski, and J.-M. Jin — Phys. Rev. E, 2019
Effective electromagnetic parameter extractions for porous media using a potential-based formulation
Su Yan — 2019 International Applied Computational Electromagnetics Society (ACES) Symposium, Miami, FL, USA, April 2019, 2019
All-frequency stable finite-element formulation and application in electromagnetic multiscale problems
Su Yan — 2019 IEEE MTT-S International Conference on Numerical Electromagnetic and Multiphysics Modeling and Optimization, Cambridge, MA, USA, 2019
A general scheme for the DGTD modeling and S-parameter extraction of inhomogeneous waveports
G. Chen, L. Zhao, W. Yu, Su Yan, K. Zhang, and J.-M. Jin — IEEE Trans. Microw. Theory Tech., 2018
A CFIE-based electromagnetic solver for composite objects
J. Guan, Su Yan, and J.-M. Jin — Proc. IEEE Antennas Propag. Symp., Fajardo, Puerto Rico, June 2016, 2016